上海滬工閥門廠(集團)有限公司
摘要:從實際使用要求出發,討論了調節閥流量系數與可調比關系,提出把可調比看作流量特性曲線的特征參數。在此基礎上,指出國家標準和 IEC 標準對流量系數偏差規定的區別,并通過相應計算得出國內現有標準及產品設計中存在的不足之處。
關鍵詞:調節閥;流量系數;可調比
調節閥有兩種基本的流量特性:
線性流量特性
等百分比流量特性 Ф=Ф0Rh (2)
式中:Ф 為對應某開度是的流量系數;R 為可調比;h 為相對開度;Ф0 為 h=0 是的流量系數。
按照傳統的解釋,可調比 R 是指所能控制最大流量的比值,即

在設計調節閥時,需先設定一個 R 值,然后計算各開度下的流量系數 Ф,以此作為設計閥芯曲線和套簡窗口的依據。國內調節閥行業的兩次統一設計,都是在設定 R=30 前提下,計算出了各開度對應的流量系數理論值(見表 1)。
| 流量特性 | Ф0 | 各相對開度 Ф 值 | |||||||||
| 0.1 | 0.2 | 0.3 | 0.4 | 0.5 | 0.6 | 0.7 | 0.8 | 0.9 | 1.0 | ||
| 線性 | 3.33 | 13.00 | 22.67 | 32.33 | 42.00 | 51.67 | 61.33 | 71.00 | 80.67 | 90.33 | 100.00 |
| 等百分比 | 3.33 | 4.68 | 6.58 | 9.25 | 12.99 | 18.26 | 25.65 | 36.05 | 50.65 | 71.17 | 100.00 |
從應用角度,希望調節閥的放大倍數 KD 大一些,而 KD 與可調節比 R 有關,
線性特性
等百分比特性
式中:L 為全行程開度。可以看出,增大 KD,應提高 R 值,因此,制造廠都將可調比大于某一數值作為一項性能指標予以標明。但是調節閥 R 值越大,設計制造難度越大。對單、雙座調節閥,若 R 值過大,閥芯制造時會在 90%~100% 開度范圍內產生根切現象;對套筒調節閥,若 R 值太大,在 90%~100% 開度范圍內會因窗口尺寸過寬而無法制造。這些都限制了 R 值的提高。
制造廠是在 R=30 前提下設計制造出調節閥產品,但對調節閥產品實際 R 值是多大、它與 R=30 的偏差等問題,目前尚未引起人們的重視。由于,設計人員對 R 值的認識僅局限在 Qmax 和 Qmin 的比上,而 Qmin 只是個理論上存在的數值,無法進行測量,因此認為實際可調比也是無法計算的。在目前見到的有關調節閥的資料中,尚未看到這方面的論述。國內外調節閥的 標準中,也未提出對 R 值的測量、計算和考核辦法。這是由于對可調比概念的片面理解所造成的,現在有必要從可調比與流量系數的關系入手作進一步探討與研究。
1、可比閥與流量特性曲線的關系
從流量系數的計算公式可以看出,R 值取決于,但它決定了任意一個相對行程時的流量系數值。因此,無論從調節閥的設計、制造和應用角度講,這一點都具有很重要的實際意義。因為,任何調節閥都不可能使用在它的最小開度,也就是不會用其 Qmin 來工作,大量的使用場合是在某一開度(一般在全行程的 20%~80%)上對流量進行控制。此時,調節閥的流量系數大小決定了調節閥的工作開度,流量系數相對于行程的變化量決定了調節閥的放大倍數,這些均與 R 值有關。因此,不能簡單地從 Qmax 和 Qmin 的比去理解 R 值,而應當把 R 值看作是整個流量特性曲線的一個特征參數。
分析式(1)、式(2)與式(3)、式(4)可以看出,R 值變化對線性流量特性影響不大,特別在 R>1 時,Ф 與 KD 均與 R 值無關;對等百分比特性影響則較大,因此本文討論值對流量系數的影響僅限于等百分比特性。
當 R 值作為流量特性曲線的一個特征參數時,可以設想將全行程的流量特性曲線看成由幾個不同 R值決定的幾段流量特性曲線組合而成。在 0~80% 開度時,R 值取大一些,使調節閥在工作行程范圍內有足夠的 R 值,也就是有足夠的放大倍數。在 80%~100% 開度范圍,R 值取小一些,使調節閥制造過程中,閥芯曲線和套筒開窗都容易實現。提高工作開度下的 R值,也可以作為在調節閥設計中探索提高流通能力的一個途徑。分段取不同的 R 值這一思想,已從 IEC534—2—4(草案)和國外一些調節閥流量系數表中體現出來,這時可調比的含義已經不再是 Qmax 和 Qmin 之比了,它應當作為流量特性曲線的一個特征參數被認識、被研究。
2 R 值計算方法
調節閥實際可調比 R 值是可以計算出來的,根據公式(2)可推導出
lnФ=lnФ0+hlnR (6)
在 lnФ—h 坐標系中,等百分比流量特性曲線是一直線,R 值實際上決定了該直線的斜率。實際測量一臺調節閥的流量特性,可以得到若干組(Ф,h)數據,由于制造和測量誤差,這些測量值在 lnФ—h 坐標系中呈近似直線分布,并認為這條近似直線就是這臺調節閥的實際流量特性曲線。要得到這樣一條直線,并使其最接近坐標系中的這些點,建議用最小二乘法求解。
在測量一臺調節閥于不同開度時的流量系數時,可以得到相對行程和流量系數的 K 組數據,代入公式(6)得到方程組

式中:Ф0,R 為這臺調節閥的實際值,可從方程組(7)中用最小二乘法求其近似值:

一般情況下取 10 個開度進行測量,即 hi 分別去 0.1,0.2,0.3,…,1.0。此時有 K=10,
=5.5;
=3.85,代入式(8)則有

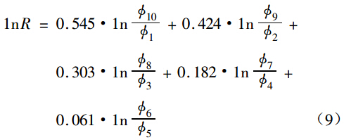
將測量所得流量系數 Фi 代入公式(9),即可解出該臺調節閥的實際可調比 R 值。若將表 1 中等百分比流量系數的理論值代入公式(9),即可反算出 R=30。按式(9)解出的是全行程的可調比,為了準確了解調節閥在工作段的可調比,hi 可分別取 0.2,0.3,…,0.8,即 k=7,
=3.5,
=2.03,則有

代入 20%~80% 開度時的各流量系數,可以得到該段流量特性的 R 值。同樣,將表 1 中理論值數據代入式(10),也可反算出 R=30。由于式(9)、式(10)中 Ф 值都是以比值形式出現,無論用絕對流量系數或相對流量系數計算其結果都是相等的。因此,用來計算 R 值是很方便的。同樣,當需要計算任意段流量特性曲線的 值時,都可以推出相應的計算公式。
3 國內外一些調節閥 R 值的比較
依據式(9)用國內統一設計的雙座調節閥和聯合設計的套筒調節閥,以及 Fisher 公司的 ED 型套筒閥的流量系數計算相應的 R 值,其結果見表 2~表 4。
從表中可以看出,盡管雙座調節閥和套筒調節閥在設計時預先設定 R=30,但實際生產的各種規格的調節閥其 R 值是不相同的。
| 公稱通徑 DN×dN | 各相對開度 Ф 值 | 可調比 R | |||||||||
| 0.1 | 0.2 | 0.3 | 0.4 | 0.5 | 0.6 | 0.7 | 0.8 | 0.9 | 1.0 | ||
| 25 | 2.65 | 4.57 | 7.84 | 12.76 | 17.96 | 25.04 | 35.00 | 49.11 | 74.53 | 103.39 | 51.5 |
| 32 | 3.09 | 6.30 | 9.90 | 13.99 | 18.90 | 24.60 | 30.10 | 42.80 | 74.40 | 100.00 | 34.6 |
| 40 | 7.44 | 10.28 | 11.52 | 13.22 | 16.88 | 21.92 | 28.82 | 52.84 | 78.92 | 92.00 | 17.4 |
| 50 | 7.68 | 11.89 | 14.90 | 18.40 | 22.90 | 29.50 | 37.80 | 53.50 | 70.40 | 98.20 | 14.6 |
| 65 | 3.95 | 7.72 | 11.36 | 15.53 | 20.20 | 26.56 | 36.51 | 50.77 | 77.53 | 99.58 | 28.9 |
| 80 | 3.34 | 7.64 | 10.49 | 14.63 | 19.85 | 28.00 | 37.75 | 50.28 | 75.49 | 97.25 | 32.4 |
| 100 | 4.70 | 7.68 | 10.32 | 14.20 | 18.81 | 27.35 | 37.02 | 52.82 | 72.39 | 97.60 | 27.1 |
| 125 | 4.14 | 6.49 | 9.47 | 12.89 | 19.37 | 27.61 | 37.34 | 51.88 | 66.66 | 103.63 | 32.3 |
| 150 | 2.55 | 5.70 | 8.50 | 12.42 | 18.17 | 25.45 | 34.98 | 48.48 | 76.74 | 96.81 | 45.7 |
| 200 | 12.20 | 16.10 | 20.10 | 25.10 | 32.00 | 46.50 | 75.80 | 100.50 | 20.0 | ||
| 公稱通徑 DN×dN | 各相對開度 Ф 值 | 可調比 R | |||||||||
| 0.1 | 0.2 | 0.3 | 0.4 | 0.5 | 0.6 | 0.7 | 0.8 | 0.9 | 1.0 | ||
| 25 | 4.10 | 7.90 | 12.10 | 16.50 | 20.40 | 29.60 | 42.20 | 61.00 | 81.50 | 103.00 | 30.9 |
|
40 C=16 |
2.12 | 6.06 | 10.00 | 14.31 | 18.75 | 24.75 | 34.50 | 51.06 | 73.75 | 96.88 | 45.3 |
|
60 C=25 |
6.54 | 9.12 | 11.76 | 14.84 | 20.24 | 28.16 | 38.60 | 56.00 | 78.00 | 99.20 | 21.3 |
| 50 | 3.10 | 6.45 | 9.90 | 15.05 | 22.48 | 32.50 | 46.50 | 67.50 | 90.50 | 97.75 | 45.2 |
| 65 | 3.25 | 6.83 | 10.24 | 14.63 | 20.63 | 27.46 | 40.32 | 58.73 | 86.35 | 107.94 | 41.2 |
| 80 | 4.20 | 7.67 | 11.10 | 14.97 | 21.05 | 29.70 | 40.60 | 60.50 | 80.10 | 92.60 | 29.9 |
| 100 | 3.57 | 7.37 | 11.03 | 15.21 | 21.80 | 30.39 | 44.13 | 64.90 | 82.06 | 93.23 | 34.9 |
|
125 C=250 |
3.69 | 7.00 | 10.80 | 15.24 | 21.20 | 29.80 | 41.60 | 59.60 | 87.60 | 102.80 | 36.9 |
|
125 C=370 |
3.34 | 7.14 | 10.84 | 15.19 | 21.89 | 31.62 | 45.95 | 65.41 | 82.43 | 93.24 | 37.5 |
| 200 | 3.17 | 6.90 | 10.79 | 15.66 | 22.41 | 31.90 | 42.76 | 60.34 | 81.21 | 96.03 | 37.8 |
| 300 | 3.31 | 6.92 | 10.54 | 14.54 | 20.23 | 28.62 | 43.85 | 64.23 | 82.31 | 94.08 | 38.3 |
| 公稱通徑 DN×dN | 各相對開度 Ф 值 | 可調比 R | |||||||||
| 0.1 | 0.2 | 0.3 | 0.4 | 0.5 | 0.6 | 0.7 | 0.8 | 0.9 | 1.0 | ||
|
1*1/4×1*5/16 |
0.783 | 1.54 | 2.20 | 2.89 | 4.21 | 5.76 | 7.83 | 10.9 | 14.1 | 17.2 | 27.4 |
| 1*1/2×1*7/8 | 1.52 | 2.63 | 3.87 | 5.41 | 7.45 | 11.2 | 17.4 | 24.5 | 30.8 | 35.8 | 36.3 |
| 2×2*5/16 | 1.66 | 2.93 | 4.66 | 6.98 | 10.8 | 16.5 | 25.4 | 37.3 | 50.7 | 59.7 | 57.6 |
| 2*1/2×2*7/8 | 3.43 | 7.13 | 10.8 | 15.1 | 22.4 | 33.7 | 49.2 | 71.1 | 89.5 | 99.4 | 41.3 |
| 3×3*7/16 | 4.32 | 7.53 | 10.9 | 17.1 | 27.2 | 43.5 | 66.0 | 97.0 | 120 | 136 | 54.2 |
| 4×4*3/8 | 5.85 | 11.6 | 18.3 | 30.2 | 49.7 | 79.7 | 125 | 171 | 205 | 224 | 64.8 |
| 6×7 | 12.9 | 25.8 | 43.3 | 67.4 | 104 | 162 | 239 | 316 | 368 | 394 | 47.1 |
| 8×8L=2 | 18.5 | 38.0 | 58.4 | 86.7 | 130 | 189 | 268 | 371 | 476 | 567 | 41.9 |
| 8×8L=3 | 27.0 | 58.1 | 105 | 188 | 307 | 478 | 605 | 695 | 761 | 818 | 43.1 |
比較表 2、表 3 這兩個系列調節閥的 R 值可以看出,雙座調節閥各種規格的 R 值偏差較大,套筒調節閥各種規格的 R 值偏差較小。這與兩種閥設計時對流量特性采用不同誤差判定標準相吻合,雙座調節閥以最大流量值的 10% 作為每個行程流量值的偏差范圍,而套筒閥采用國際 IEC 標準中的斜率法計算流量特性偏差的方法。顯然,后一種方法較前一種方法更能保證 R 值達到設計要求,這也說明了 IEC 標準斜率法的先進性。
比較表 2、表 3、表 4 還可以看出,國產調節閥的 R 值比國外調節閥小,國內雙座閥
=30.5、套簡閥
=36.2;Fisher 公司 ED 型套簡閥
=45.9。
再按式(10)計算國內套簡閥和 Fisher 公司 ED 型套簡閥在工作行程段(h=0.2~0.8)時的 R 值,并與全行程時的 R 值相比較,結果見表 5 與表 6。可以看出,國產套簡閥工作行程段的 R 值和全行程 R 值接近,無顯著改變,
=34.2,而 Fisher 公司套簡閥在工作行程段的 R 值明顯高于全行程的 R 值,
=60.5。
提高工作行程段的 R 值,其優越性在于它能更好地滿足自控系統的需要,還能提高 80% 開度時的流量系數值,從而使全開時閥的流通能力有較顯著的提高。通過對 R 值的分析比較,說明了國內外調節閥在設計水平上存在一定的差距。
| 套筒閥行程段 | 套筒閥各規格 R 值 | R 平均 | ||||||||||
| 20 |
40 C=16 |
40 C=25 |
50 | 65 | 80 | 100 |
125 C=250 |
125 C=370 |
200 | 300 | ||
| 全行程 | 30.9 | 45.3 | 21.3 | 45.2 | 41.2 | 29.9 | 34.9 | 36.9 | 37.5 | 37.8 | 38.3 | 36.2 |
| h=0.2~0.8 | 26.9 | 28.9 | 20.5 | 49.2 | 33.4 | 29.5 | 35.4 | 33.0 | 39.2 | 35.2 | 38.4 | 34.2 |
| 套筒閥行程段 | 套筒閥各規格 R 值 | R 平均 | ||||||||
| 1*1/4×1*5/1 | 1*1/2×1*7/8 | 2×2*5/16 | 2*1/2×2*7/8 | 3×3*7/16 | 4×4*3/8 | 6×7 | 8×8L=2 | 8×8L=3 | ||
| 全行程 | 27.4 | 35.3 | 57.6 | 41.3 | 54.2 | 64.8 | 67.1 | 41.9 | 43.1 | 45.9 |
| h=0.2~0.8 | 25.8 | 41.5 | 69.7 | 46.2 | 78.1 | 99.7 | 69.0 | 45.0 | 69.7 | 60.5 |
4、對 IEC 534—2—4(草案)的理解
IEC 534—2—4(草案)第 3.3 款對等百分比流量特性做了如下規定:
“在 h=0.2 和 h=0.8 之間,任意兩個相鄰流量系數發表值的對數之間的差值應在 0.13 和 0.2 范圍內”。“低于 h=0.2 這兩個值相應為 0.13 和 0.25;高于 h=0.8,此值應相應為 0.03 和 0.2”。
這里作為流量特性偏差范圍的選取,應當看作是按 R 值的變化范圍決定的,試計算
R=20,0.1×logR=0.13
R=100,0.1×logR=0.20
R=300,0.1×logR=0.25
R=2,0.1×logR=0.03
也就是說,流量特性偏差實際上是分段限制 R 值的變化范圍,即
h=0.2~0.8,R=20~80;
h=0.8~1.0,R=2~100;
h=0~0.2,R=20~300;
IEC 的這一規定正是體現了將 R 值作為流量特性曲線的一個特征參數,并實現了在全行程范圍內可以取不同 R 值這一設計思想。而國標 GB 4213—84《氣動調節閥通用技術條件》在這個問題上是和 IEC 標準存在一定差異的。深入討論 R 值及流量系數的關系,無論對設計、制造、應用調節閥都有一定的意義,對加強調節閥的基礎理論研究,提高我國調節閥設計制造水平,都是十分必要的。